Квадратный корень из произведения и дроби примеры

Квадратный корень из произведения и дроби примеры
Алгебра 8 Макарычев Самостоятельная С-18 ОТВЕТЫ
Корень из 171 Фитостудия-63.ру
Презентация "Арифметический квадратный корень из произведения и дроби"
Корень из 8 дробь
Урок решения ключевых задач по теме "Квадратный корень из произведения и дроби"
6-7 Свойства арифметического квадратного корня
Корень квадратный из комплексного числа: Извлечение корня из комплексного числа
Презентация на тему: "Урок математики в 8 классе Арифметический квадратный корен
Проект -урок "Квадратный корень из дроби" , 8 класс
Возведение в квадрат корня Вопросы и ответы
Видеоурок по квадратным корням
Корень 2592
05.12.22 Алгебра Надтока И.И. Тема Квадратный корень из произведения и дроби 202
Свойства Квадратного Корня 8 Класс Самостоятельная Работа 67 фото
Квадратный корень из пирога 95 фото
Корень из произведения и дроби
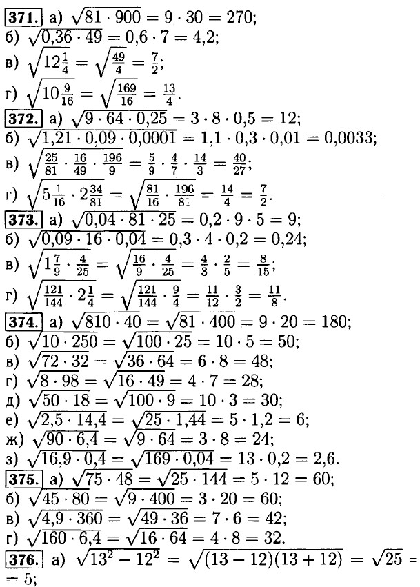
Алгебра 8 класс_Макарычев № № 369, 370, 372, 374, 375 Математика школьнику подро
Проект квадратные корни 8 класс
Корень из произведения дроби
Корень из 961
Свойство квадратного корня из произведения
Умножение квадратного корня на квадратный корень: Как правильно умножить корни ч
Алгебра 8 класс квадратный корень из произведения
Квадратный корень из произведения и дроби
Освобождение от иррациональности в знаменателе дроби презентация, доклад, прое
КОРЕНЬ ИЗ ДРОБИ ФОРМУЛА photos
Конспект урока по Алгебре "Извлечение квадратного корня из произведения и частно
Квадрат корень из произведения
Алгебра 8 класс квадратный корень из дроби Telegraph